Looking for a way to secure your dream home without a huge down payment? A printable rent-to-own agreement may be the solution you’ve been searching for. This type of agreement allows you to rent a property with the option to buy it at a later date.
With a printable rent-to-own agreement, you can test out the neighborhood, get a feel for the property, and decide if it’s the right fit for you before committing to a purchase. It’s a flexible option that gives you more time to make an informed decision about homeownership.
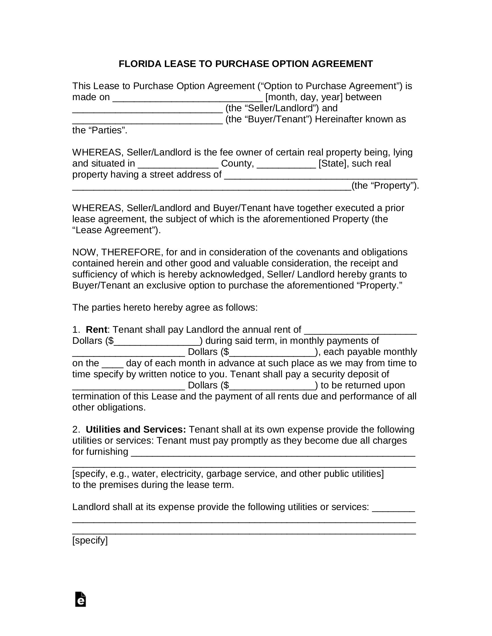
Printable Rent To Own Agreement
Printable Rent To Own Agreement
When entering into a rent-to-own agreement, it’s essential to carefully review the terms and conditions outlined in the contract. Make sure you understand the monthly rent amount, the length of the lease, and any additional fees or responsibilities you may have as a tenant.
One of the key benefits of a rent-to-own agreement is that a portion of your monthly rent payments may be applied toward the purchase price of the home. This can help you build equity in the property over time, making it easier to secure a mortgage when you’re ready to buy.
Before signing a printable rent-to-own agreement, it’s a good idea to consult with a real estate attorney or financial advisor to ensure you fully understand the terms of the contract. They can help clarify any confusing language and make sure you’re making a sound financial decision.
In conclusion, a printable rent-to-own agreement can be a great option for individuals who want to become homeowners but may not be ready to buy right away. It provides flexibility, time to save for a down payment, and the opportunity to test drive a property before committing. Consider this option if you’re looking for a more gradual path to homeownership.
Free Printable Rent To Own Contract Templates PDF Word Vehicle Car
30 Free Rent To Own Contracts Templates TemplateLab
Free Rent to Own Agreement Make Download Rocket Lawyer
Free New York Rent to Own Lease Agreement Template PDF Word
Free Rent to Own Lease Agreement Template PDF Word





